《学术月刊》

客观地说,人无完人,孰能无过。在这个世界上,不可能存在不会犯错的人。而且很多时候犯错的过程,也是积累经验的过程。科学史上的大神们,比如:爱因斯坦,牛顿都曾经犯过一些错误。而且牛顿还曾经利用自己的权威去打压过自己的对手,比如:胡克、莱布尼茨等人。

爱因斯坦没有像牛顿那样是一个学霸,但是爱因斯坦也曾经犯过一些错误,而且他的有些错误还发生了神奇的反转,今天,我们就来聊一聊,那些年,爱因斯坦犯过哪些错误?
黑洞和引力波
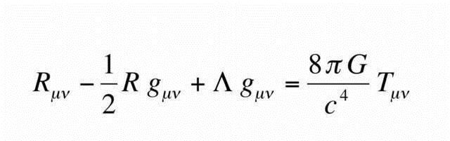
1915年,爱因斯坦提出广义相对论时,就觉得这个方程太过复杂,一时半会没有人可以解除出来。下面就是这个方程,是10个二阶偏微分方程组,关于“场方程”简直是一个传奇,我们后面还会围绕着它讲述很多其他的故事。

可是没过多久,爱因斯坦就迎来了打脸,一个还在第一次世界大战战场上的物理学家史瓦西就得到了一个方程的精确解。而这个方程对应的是一个没有转动的黑洞。

当爱因斯坦收到史瓦西的论文时,他是不太愿意相信史瓦西的结果的,但是他还是帮史瓦西发表了。一直到1955年爱因斯坦去世之前,他一直都不相信史瓦西得到的黑洞解。这里大概有两个原因。
首先,史瓦西黑洞不会转动,我们观测到的天体都会转动。
其次,当时没有实际观测到真实对应的天体。
后来,1964年,也就是爱因斯坦去世9年后,人类首次观测到了恒星级的黑洞。到了今年,科学家甚至用直接成像的技术给黑洞成像。

所以,在这一点上,爱因斯坦是错了。
在前几年,我们发现了引力波,这也是广义相对论的一个预言。只不过,一开始爱因斯坦也是不认同存在引力波的,他甚至写了一篇论文论证引力波是不存在的,结果发到学术期刊后,被人打了回来,这是因为编辑把论文给了其他的科学家看。后来,爱因斯安得知了其他科学家的意见后修改了自己的论文,重新发表。要不是爱因斯坦改了自己的论文,恐怕预言引力波的功劳也就不属于他了。
宇宙学常数
如果要说爱因斯坦犯过的错误当中哪个最有戏剧性,那一定是宇宙学常数了。那什么是宇宙学常数?
这还是要从上文中的广义相对论场方程说起。话说当年爱因斯坦看到这个方程的时候,他就有点无奈。因此,这个方程是描述宇宙的,而这个方程预示着宇宙在膨胀。当然,你现在可能觉得没啥,因为事实就是如此。但是在爱因斯坦的时代,大多数人普遍认为宇宙是永恒不变的。意思就是说,宇宙以前是什么样,现在还是什么样,没有开端,也没有末日。
于是,爱因斯坦为了让广义相对论的场方程符合自己的观念,就在这当中加了一个宇宙学常数,用符号Λ来表示。

可是爱因斯坦刚发表论文没过几年,他就迎来了一次“实力打脸”。有个叫做哈勃的天文学家,长期在观测银河系外的星系。他就发现大多数的星系都有红移现象。

红移现象说白了就是这些星系在远离我们,后来根据远离的特点,科学家确认了宇宙确实在膨胀。

当爱因斯坦知道了哈勃的观测结果时,他十分震惊,相传爱因斯坦曾说:给广义相对论增加一个宇宙学常数是他一生中做过最后悔的事情。
有了哈勃的“实锤”,似乎这个宇宙学常数就应该从此消失在这个世界了,当时很多物理学家也是这么认为的。

但事实真的如此么?我们直接给出答案:故事发生了再一次反转了。宇宙学常数在几十年后再一次复活了。当时科学家认为宇宙起源于一次大爆炸,大爆炸之后,宇宙发生了剧烈的膨胀。后来,因为我们所在的宇宙是一个物质主导的宇宙,因此,引力应该是主导,所以,宇宙应该是在减速膨胀的。
可是,到了1998年,两个科学小组观测到宇宙的膨胀并不是减速膨胀,而是在加速膨胀。

因此,原本的广义相对论场方程还需要加一个常数来拟合这个加速膨胀的结果,所以,我们还得把宇宙学常数加回去。也就是说,宇宙学常数以另外一种形式复活了,只不过这个常数和爱因斯坦当初要赋予的含义是不同的,但它们其实起到了同样的作用,就是调节宇宙膨胀的速率。因此,某种程度上是一回事。不过,这些事情都是发生在爱因斯坦死之后的事情,想必,如果他老人家知道这件事情,也会感觉到哭笑不得吧?